Приветствую Вас Гость :: RSS :: Понедельник :: 02.03.2026 ::
Реклама на сайте
Меню портала

Форма входа

Мини-чат

[ Новые сообщения · Участники · Правила форума · Поиск · RSS ]

  • Страница 1 из 1
  • 1
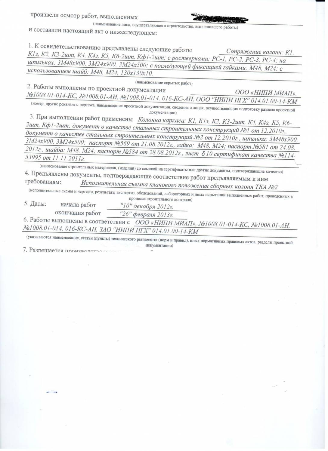
Сопряжение колонн.
ГэджетДата: Воскресенье, 05.07.2015, 12:10 | Сообщение # 1
Генерал-майор
Награды:
6  
Группа: Проверенные
Сообщений: 308
Репутация: 4
Статус: Offline
Сегодня узнал что колонны с ростверками сопрягают. А я их всегда монтировал. )))
Прикрепления: 5467373.jpg (149.8 Kb)


Когда у русского есть вода, мука, соль и водка, то он долго может прожить ими, а немец не может.
 
abk63Дата: Воскресенье, 05.07.2015, 14:12 | Сообщение # 2
Сметчик
Оренбург
Награды:
413  
Группа: Проверенные
Город: Оренбург
Сообщений: 20514
Репутация: 740
Статус: Offline
Цитата Гэджет ()
Сегодня узнал что колонны с ростверками сопрягают. А я их всегда монтировал. )))

здесь тоже смонтировали...



и здесь без сопряжения обошлись...



Сметная лавка. Беседы о сметах и не только...
Сметный портал в ТГ
Сметчикам - про ПИР, ПНР и не только...
 
ПровокатoрДата: Воскресенье, 05.07.2015, 15:00 | Сообщение # 3
Генерал-майор
Москва
Награды:
6  
Группа: Проверенные
Город: Москва
Сообщений: 352
Репутация: 25
Статус: Offline
Гэджет, и что?...


https://www.facebook.com/profile.php?id=100026513626601 https://twitter.com/lashkov_74
 
ГэджетДата: Воскресенье, 05.07.2015, 16:50 | Сообщение # 4
Генерал-майор
Награды:
6  
Группа: Проверенные
Сообщений: 308
Репутация: 4
Статус: Offline
Цитата Провокатoр ()
Гэджет, и что?...
Это акт на скрытые работы. Вы знаете вид работ - сопряжение?


Когда у русского есть вода, мука, соль и водка, то он долго может прожить ими, а немец не может.
 
abk63Дата: Воскресенье, 05.07.2015, 17:17 | Сообщение # 5
Сметчик
Оренбург
Награды:
413  
Группа: Проверенные
Город: Оренбург
Сообщений: 20514
Репутация: 740
Статус: Offline
Цитата Гэджет ()
Вы знаете вид работ - сопряжение?
я даже без строительного образования знаю, что это такое...


Сметная лавка. Беседы о сметах и не только...
Сметный портал в ТГ
Сметчикам - про ПИР, ПНР и не только...
 
ГэджетДата: Воскресенье, 05.07.2015, 17:32 | Сообщение # 6
Генерал-майор
Награды:
6  
Группа: Проверенные
Сообщений: 308
Репутация: 4
Статус: Offline
Цитата abk63 ()
я даже без строительного образования знаю, что это такое...
Раз не смешно, значит не смешно - пусть сопрягают )))


Когда у русского есть вода, мука, соль и водка, то он долго может прожить ими, а немец не может.
 
  • Страница 1 из 1
  • 1
Поиск:

Сервисы



Телеграмм чат


Администратор
icq: 264-585-675
e-mail: andreyka_s@list.ru
web: www.semushin.name


Согласно п. 4.5 Правил Сметного портала запрещено размещение материалов попадающих под действие Статьи 1259 и Статьи 1270 ГК РФ, на которые распространяются авторские права правообладателя, без согласования с ним. В случае обнаружения материалов нарушающих права правообладателя просим сообщить через форму обратной связи.
Семушин А.А.
Яндекс.Метрика